TPU、TPH、PVC,隐形车衣材质哪种好?
就目前来说,隐形车衣的材质比较常见的主要有三种,分别是TPU、TPH、PVC,可如果细究的话,应该是TPU、PVC、PU三种才对(注:TPH本质是PVC,PU是最初的材质,现在已经淘汰)。粗糙就粗糙一点,就TPU、TPH、PVC这三种隐形车衣材质来说,哪种好呢?
一、TPU、TPH、PVC简介
首先,简单介绍一下TPU、TPH、PVC这三张材料。TPU是‘Thermoplastic polyurethanes’的简称,学名‘热塑性聚氨酯’,化学属性(归类)是橡胶;PVC是‘Polyvinyl chloride’的简称,学名‘聚氯乙烯’,化学归类为塑料;TPH,在百度及google上面能找到的解释是‘Total Petroleum Hydrocarbons’,意思是石油烃,明显不符合它作为材质的身份,所以,种种迹象表明,严重怀疑这是东西其实是不存在的,是炒出来的。经过性能、化学成分的测试实验后得出,这个东西,其实就是PVC。
PU材质简单带过,英文名称‘polyurethane’,学名‘聚氨酯’,是早期隐形车衣使用的材料,现在已经逐渐被取代,基本没有再用于隐形车衣这块。
二、隐形车衣三大材质哪种好?
PU不管,TPH暂且算它另一种材质好了,就TPU、TPH、PVC这三种隐形车衣材质来说,哪种好?材质好坏当然各有千秋,但用于做隐形车衣的基材使用,TPU>TPH≥PVC。
TPH优于PVC,是因为,在一定程度上,TPH算是PVC材质的改良版,是在PVC的基础上增加抗黄变因子,所以,TPH的隐形车衣会比PVC更耐黄变些。TPU比TPH好的原因,在本质上!TPU是橡胶,TPH(本质上PVC)是塑料,TPU的弹性、韧性、延展性、柔软性、耐黄变程度等,都要远远高于TPH,是新型材料和旧材料的区别。

三、更好的TPU隐形车衣材质
在隐形车衣的材质上,选TPU的为最佳,但是,TPU也有好坏(等级)之分。简单的,可以分为脂肪族、芳香族,复杂的,可以分为普通、耐黄变、抗黄变、不黄变的。当然,最好(更好)的TPU隐形车衣材质应该是脂肪族不黄变的,其次是脂肪族抗黄变的,再其次是芳香族耐黄变的,最后是普通芳香族TPU。

我们平常常见的TPU,如没有说明,基本都是普通的芳香族TPU,而芳香族是一种新型的材料,在耐黄变、透明度要高于芳香族,主要用于光学仪器、医疗、航天、车品等行业。
芳香族TPU,因其苯环的化学结构,在紫外线下照射下,非常容易发生不可逆转的氧化反应,从而黄变。为了改变这一缺陷,后面开始在TPU中添加抗紫外线因子,从而延缓黄变的速度。有效果,但任并不明显。后来,脂肪族TPU的出现,组成成分中没有了苯环结构,化学成分稳定,在本质上解决了这一问题。
所以,就TPU隐形车衣材质来说,脂肪族的要优于芳香族!

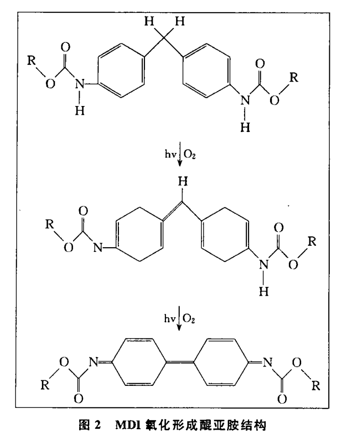
芳香族TPU氧化反应
综上,总结一些,在隐形车衣的众多材质选择中,其中脂肪族TPU,优于芳香族TPU,优于TPH,优于PVC,优于PU。如果你对以上内容有任何疑问、意见或建议,欢迎与我们取得联系。希望对你有帮助!
相关文章
关于艺卡
YEECAR是一家定位高品质汽车保护的汽车膜民族品牌,公司以“让每位车主都能享受科技带来的驾乘乐趣”为愿景,甄选进口优质脂肪族TPU基材,立足国内车主的用车环境和使用需求,专注高性价比汽车膜的生产。
